Упр.133 ГДЗ Макарычев Миндюк 8 класс (Алгебра)
Решение #1 (Учебник 2024)
Решение #2 (Учебник 2024)
Решение #3 (Учебник 2024)
Решение #4 (Учебник 2019)
Решение #5 (Учебник 2019)

Рассмотрим вариант решения задания из учебника Макарычев, Миндюк, Нешков 8 класс, Просвещение:
Выразите х через а и b:
а) 3х + b = а;
б) b - 7х = а - b;
в) x/a + 1 = b;
г) b-x/10 = а.
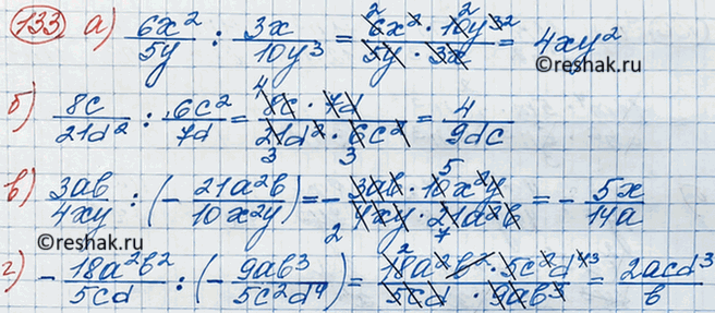
Упростите выражение:
а) 6x2/5y:3x/10y3;
б) 8c/21d2:6c2/7d;
в) 3ab/4xy : (-21a2b/10x2y);
г) -18a2b2/5cd:(-9ab3/5c2d4).
Похожие решебники
Популярные решебники 8 класс Все решебники
*размещая тексты в комментариях ниже, вы автоматически соглашаетесь с пользовательским соглашением