Упр.132 ГДЗ Макарычев Миндюк 8 класс (Алгебра)
Решение #1 (Учебник 2024)
Решение #2 (Учебник 2024)
Решение #3 (Учебник 2024)
Решение #4 (Учебник 2024)
Решение #5 (Учебник 2019)
Решение #6 (Учебник 2019)

Рассмотрим вариант решения задания из учебника Макарычев, Миндюк, Нешков 8 класс, Просвещение:
Первые 30 км велосипедист ехал со скоростью v км/ч, а остальные 17 км — со скоростью, на 2 км/ч большей. Сколько времени t (ч) затратил велосипедист на весь путь? Найдите t, если: a) v = 15; б) и = 18.
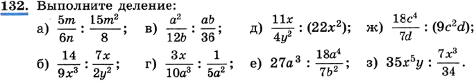
Выполните деление:
а) 5m/6n: 15m2/8;
б) 14/9x3:7x/2y2;
в) a2/12b:ab/36;
г) 3x/10a3:1/5a2;
д) 11x/4y2: (22x2);
е) 27a3:18a4/7b2;
ж) 18c4/7d: (9c2d);
з) 35x5y:7x3/34.
Похожие решебники
Популярные решебники 8 класс Все решебники
*размещая тексты в комментариях ниже, вы автоматически соглашаетесь с пользовательским соглашением