🔥ГДЗ под запретом?

Упр.1198 ГДЗ Атанасян 7-9 класс по геометрии (Геометрия)

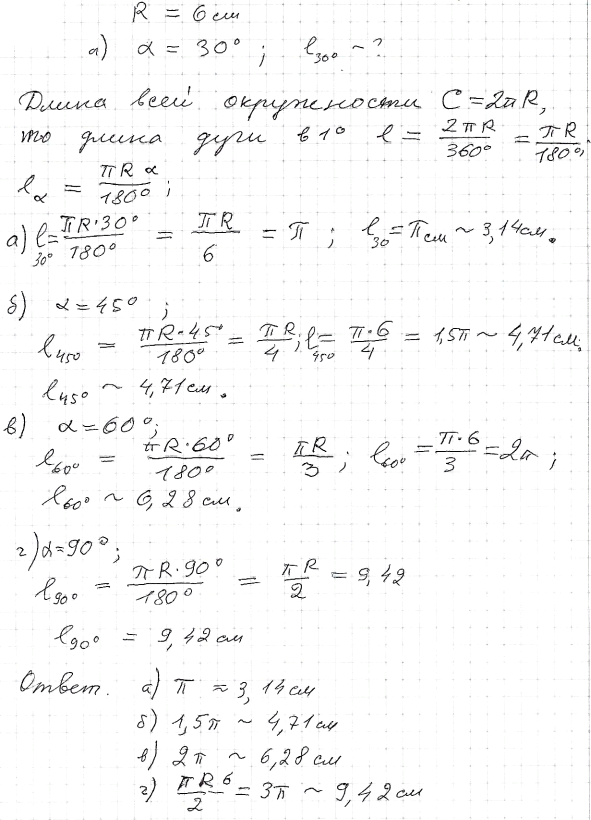
Решение #1 (Учебник 2025)

Изображение Упр.1198 ГДЗ Атанасян 7-9 класс по геометрии

Решение #2 (Учебник 2025)

Изображение Упр.1198 ГДЗ Атанасян 7-9 класс по геометрии

Решение #3 (Учебник 2023)

Изображение Упр.1198 ГДЗ Атанасян 7-9 класс по геометрии

Рассмотрим вариант решения задания из учебника Атанасян, Бутузов 9 класс, Просвещение:
Найдите длину дуги окружности радиуса 6 см, если её градусная мера равна: а) 30°; б) 45°; в) 60°; г) 90°.

Докажите, что объём призмы равен произведению площади основания на высоту.

*Цитирирование задания со ссылкой на учебник производится исключительно в учебных целях для лучшего понимания разбора решения задания.
*К сожалению, временные проблемы с публикацией комментариев с мобильных устройств.