№158 ГДЗ Рымкевич 10-11 класс (Физика)
Решение #1
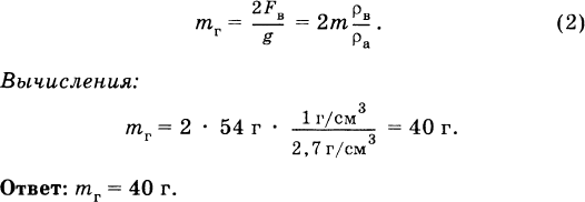
Решение #2
Решение #3

Рассмотрим вариант решения задания из учебника Рымкевич 10-11 класс, Дрофа:
На одной чаше весов находится сосуд с водой, а на другой штатив, на котором подвешено алюминиевое тело массой 54 г. При этом весы находятся в равновесии (рис. 27). Если, удлинив нить, погрузить тело в воду, то равновесие нарушится. Груз какой массы надо положить на правую чашу весов, чтобы восстановить равновесие?
Популярные решебники 10-11 класс Все решебники
*размещая тексты в комментариях ниже, вы автоматически соглашаетесь с пользовательским соглашением