Упр.1.41 ГДЗ Мордкович 7 класс (Алгебра)
Решение #1
Решение #2

Рассмотрим вариант решения задания из учебника Мордкович, Александрова 7 класс, Мнемозина:
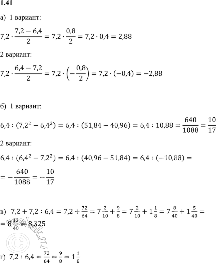
1.41. Даны два числа 7,2 и 6,4. Запишите и найдите значение:
а) произведения большего из чисел и полуразности этих чисел;
б) частного от деления меньшего из этих чисел на разность их квадратов;
в) суммы большего из этих чисел и частного от деления большего на меньшее;
г) частного от деления большего числа на меньшее.
Похожие решебники
Популярные решебники 7 класс Все решебники
*размещая тексты в комментариях ниже, вы автоматически соглашаетесь с пользовательским соглашением