Упр.1.39 ГДЗ Мордкович 7 класс (Алгебра)
Решение #1
Решение #2

Рассмотрим вариант решения задания из учебника Мордкович, Александрова 7 класс, Мнемозина:
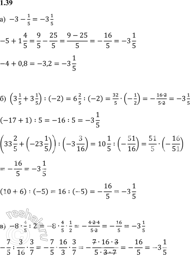
1.39. Составьте числовое выражение, значение которого равно -3*1/5, используя при этом:
а) только одно действие;
б) сложение и деление;
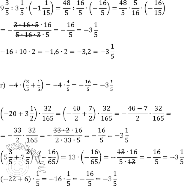
в) деление и умножение;
г) сложение и умножение.
Похожие решебники
Популярные решебники 7 класс Все решебники
*размещая тексты в комментариях ниже, вы автоматически соглашаетесь с пользовательским соглашением