Упр.40 Повторите математику ГДЗ Дорофеев Суворова 9 класс (Алгебра)
Решение #1

Рассмотрим вариант решения задания из учебника Дорофеев, Суворова, Бунимович 9 класс, Просвещение:
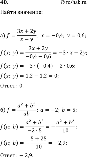
40. Найдите значение дроби при указанных значениях переменных:
а) (3x+2y)/(x-y) при x=-0,4, y=0,6;
б) (a^2+b^2)/(ab) при a=-2, b=5.
Популярные решебники 9 класс Все решебники
*К сожалению, временные проблемы с публикацией комментариев с мобильных устройств.