🔥ГДЗ под запретом?

Задачи на повторение П.91 ГДЗ Виленкин Жохов 6 класс Часть 2, Просвещение (Математика)

Решение #1 (Учебник 2023)

Изображение На координатной плоскости постройте треугольник AВС с вершинами A (-3; -6), В (2; -4) и С (-3; -4). Используя рисунок, найдите координаты точек, в которых стороны...

Решение #2 (Учебник 2023)

Изображение На координатной плоскости постройте треугольник AВС с вершинами A (-3; -6), В (2; -4) и С (-3; -4). Используя рисунок, найдите координаты точек, в которых стороны...

Рассмотрим вариант решения задания из учебника Виленкин, Жохов, Чесноков 6 класс, Просвещение:
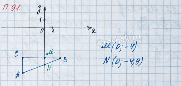
На координатной плоскости постройте треугольник AВС с вершинами A (-3; -6), В (2; -4) и С (-3; -4). Используя рисунок, найдите координаты точек, в которых стороны треугольника пересекают оси координат.

*Цитирирование задания со ссылкой на учебник производится исключительно в учебных целях для лучшего понимания разбора решения задания.
*К сожалению, временные проблемы с публикацией комментариев с мобильных устройств.