🔥ГДЗ под запретом?

Задачи на повторение П.79 ГДЗ Виленкин Жохов 6 класс Часть 2, Просвещение (Математика)

Решение #1 (Учебник 2023)

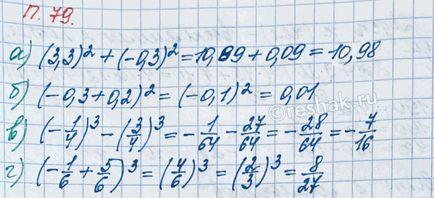
Изображение Вычислите значение выражения:а) (3,3)^2 + (-0,3)^2;   в) (-1/4)^3 - (3/4)^3;б) (-0,3 + 0,2)^2;       г) (-1/6 +...

Решение #2 (Учебник 2023)

Изображение Вычислите значение выражения:а) (3,3)^2 + (-0,3)^2;   в) (-1/4)^3 - (3/4)^3;б) (-0,3 + 0,2)^2;       г) (-1/6 +...

Рассмотрим вариант решения задания из учебника Виленкин, Жохов, Чесноков 6 класс, Просвещение:
Вычислите значение выражения:
а) (3,3)^2 + (-0,3)^2; в) (-1/4)^3 - (3/4)^3;
б) (-0,3 + 0,2)^2; г) (-1/6 + 5/6)^3.

*Цитирирование задания со ссылкой на учебник производится исключительно в учебных целях для лучшего понимания разбора решения задания.
*К сожалению, временные проблемы с публикацией комментариев с мобильных устройств.