🔥ГДЗ под запретом?

Задачи на повторение П.36 ГДЗ Виленкин Жохов 6 класс Часть 2, Просвещение (Математика)

Решение #1 (Учебник 2023)

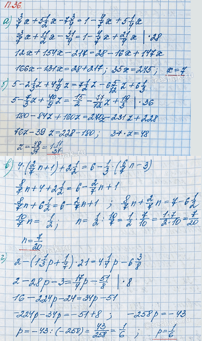
Изображение Найдите корень уравнения:а) 3/7 x + 5 1/2 x - 7 3/4 = 1 - 4/7 x + 5 1/4 x; б) 5 - 2 1/3 z + 4 4/9 z = 7 1/2 z - 6 5/12 z + 6 1/3;в) 4 · (2/7 n + 1) + 2 1/2 = 6 -...
Дополнительное изображение

Решение #2 (Учебник 2023)

Изображение Найдите корень уравнения:а) 3/7 x + 5 1/2 x - 7 3/4 = 1 - 4/7 x + 5 1/4 x; б) 5 - 2 1/3 z + 4 4/9 z = 7 1/2 z - 6 5/12 z + 6 1/3;в) 4 · (2/7 n + 1) + 2 1/2 = 6 -...

Рассмотрим вариант решения задания из учебника Виленкин, Жохов, Чесноков 6 класс, Просвещение:
Найдите корень уравнения:
а) 3/7 x + 5 1/2 x - 7 3/4 = 1 - 4/7 x + 5 1/4 x;
б) 5 - 2 1/3 z + 4 4/9 z = 7 1/2 z - 6 5/12 z + 6 1/3;
в) 4 · (2/7 n + 1) + 2 1/2 = 6 - 1/3 · (6/7 n - 3);
г) 2 - (1 1/3 p + 1/7) · 21 = 4 1/4 p - 6 3/8.

*Цитирирование задания со ссылкой на учебник производится исключительно в учебных целях для лучшего понимания разбора решения задания.
*К сожалению, временные проблемы с публикацией комментариев с мобильных устройств.