🔥ГДЗ под запретом?

Задачи на повторение П.20 ГДЗ Виленкин Жохов 6 класс Часть 2, Просвещение (Математика)

Решение #1 (Учебник 2023)

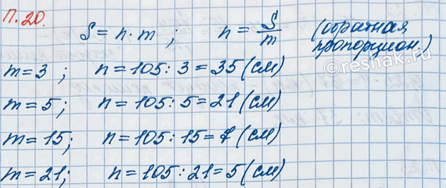
Изображение Площадь стола равна 105 м^2, а длина и ширина n см и m см соответственно. Найдите n, если: а) m = 3; б) m = 5; в) m = 15; г) m = 21. Запишите формулу зависимости n от m....

Решение #2 (Учебник 2023)

Изображение Площадь стола равна 105 м^2, а длина и ширина n см и m см соответственно. Найдите n, если: а) m = 3; б) m = 5; в) m = 15; г) m = 21. Запишите формулу зависимости n от m....

Рассмотрим вариант решения задания из учебника Виленкин, Жохов, Чесноков 6 класс, Просвещение:
Площадь стола равна 105 м^2, а длина и ширина n см и m см соответственно. Найдите n, если: а) m = 3; б) m = 5; в) m = 15; г) m = 21. Запишите формулу зависимости n от m. Является ли эта зависимость обратно пропорциональной?

*Цитирирование задания со ссылкой на учебник производится исключительно в учебных целях для лучшего понимания разбора решения задания.
*К сожалению, временные проблемы с публикацией комментариев с мобильных устройств.