🔥ГДЗ под запретом?

Задачи на повторение П.111 ГДЗ Виленкин Жохов 6 класс Часть 2, Просвещение (Математика)

Решение #1 (Учебник 2023)

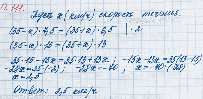
Изображение Тримаран проходит за 7,5 ч против течения столько же, сколько за 6,5 ч по течению. Найдите скорость течения, если собственная скорость тримарана 35...

Решение #2 (Учебник 2023)

Изображение Тримаран проходит за 7,5 ч против течения столько же, сколько за 6,5 ч по течению. Найдите скорость течения, если собственная скорость тримарана 35...

Рассмотрим вариант решения задания из учебника Виленкин, Жохов, Чесноков 6 класс, Просвещение:
Тримаран проходит за 7,5 ч против течения столько же, сколько за 6,5 ч по течению. Найдите скорость течения, если собственная скорость тримарана 35 км/ч.

*Цитирирование задания со ссылкой на учебник производится исключительно в учебных целях для лучшего понимания разбора решения задания.
*К сожалению, временные проблемы с публикацией комментариев с мобильных устройств.