🔥ГДЗ под запретом?

Задачи на повторение П.100 ГДЗ Виленкин Жохов 6 класс Часть 2, Просвещение (Математика)

Решение #1 (Учебник 2023)

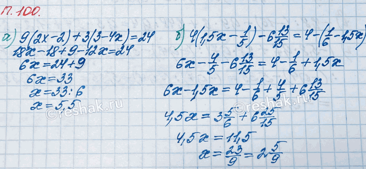
Изображение Решите уравнение:а) 9(2x - 2) + 3(3 - 4x) = 24;   б) 4(1,5x - 1/5) - 6 13/15 = 4 - (1/6 -...

Решение #2 (Учебник 2023)

Изображение Решите уравнение:а) 9(2x - 2) + 3(3 - 4x) = 24;   б) 4(1,5x - 1/5) - 6 13/15 = 4 - (1/6 -...

Рассмотрим вариант решения задания из учебника Виленкин, Жохов, Чесноков 6 класс, Просвещение:
Решите уравнение:
а) 9(2x - 2) + 3(3 - 4x) = 24; б) 4(1,5x - 1/5) - 6 13/15 = 4 - (1/6 - 1,5x).

*Цитирирование задания со ссылкой на учебник производится исключительно в учебных целях для лучшего понимания разбора решения задания.
*К сожалению, временные проблемы с публикацией комментариев с мобильных устройств.