Упр.651(стар учебник) ГДЗ Дорофеев Суворова 8 класс (Алгебра)
Решение #1

Рассмотрим вариант решения задания из учебника Дорофеев, Суворова, Бунимович 8 класс, Просвещение:
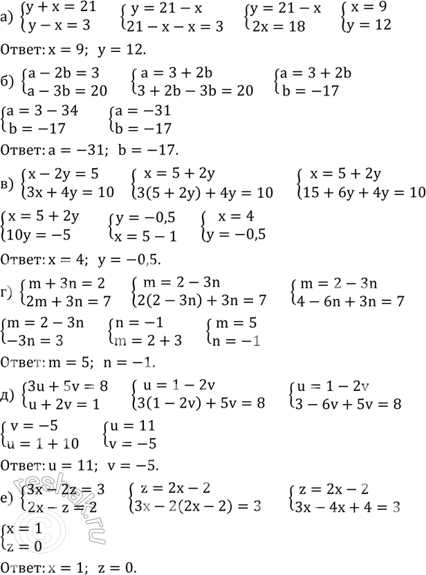
Решите систему способом подстановки:
а) {(y+x=21
y-x=3)+
б) {(a-2b=3
a-3b=20)+
в) {(x-2y=5
3x+4y=10)+
г) {(m+3n=2
2m+3n=7)+
д) {(3u+5v=8
u+2v=1)+
е) {(3x-2z=3
2x-z=2)+
Популярные решебники 8 класс Все решебники
*размещая тексты в комментариях ниже, вы автоматически соглашаетесь с пользовательским соглашением