Упр.564(стар учебник) ГДЗ Дорофеев Суворова 8 класс (Алгебра)
Решение #1

Рассмотрим вариант решения задания из учебника Дорофеев, Суворова, Бунимович 8 класс, Просвещение:
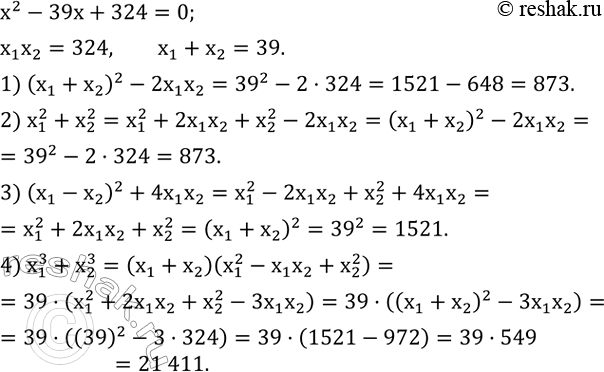
Дано уравнение x^2-39x+324=0. Не вычисляя корней x_1 и x_2 данного уравнения, найдите:
(x_1+x_2 )^2-2x_1 x_2; x_1^2+x_2^2; (x_1-x_2 )^2+4x_1 x_2; x_1^3+x_2^3.
Популярные решебники 8 класс Все решебники
*размещая тексты в комментариях ниже, вы автоматически соглашаетесь с пользовательским соглашением