Упр.557(стар учебник) ГДЗ Дорофеев Суворова 8 класс (Алгебра)
Решение #1

Рассмотрим вариант решения задания из учебника Дорофеев, Суворова, Бунимович 8 класс, Просвещение:
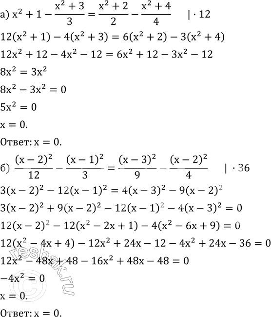
Решите уравнение:
а) x^2+1-(x^2+3)/3=(x^2+2)/2-(x^2+4)/4;
б) (x-2)^2/12-(x-1)^2/3=(x-3)^2/9-(x-2)^2/4.
Популярные решебники 8 класс Все решебники
*размещая тексты в комментариях ниже, вы автоматически соглашаетесь с пользовательским соглашением