Упр.525(стар учебник) ГДЗ Дорофеев Суворова 9 класс (Алгебра)
Решение #1

Рассмотрим вариант решения задания из учебника Дорофеев, Суворова, Бунимович 9 класс, Просвещение:
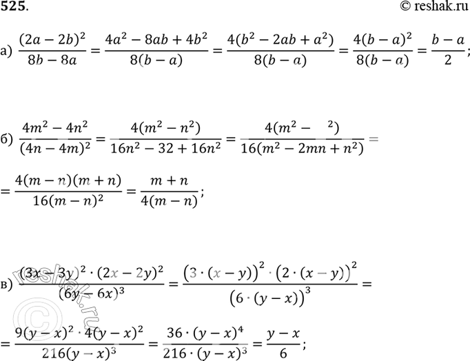
а) (2a - 2b)^2/(8b - 8a);
б) (4m^2 - 4n^2)/(4n - 4m)^2;
в) ((3x - 3y)^2(2x - 2y)^2/(6y - 6x)^3.
Популярные решебники 9 класс Все решебники
*К сожалению, временные проблемы с публикацией комментариев с мобильных устройств.