Упр.513(стар учебник) ГДЗ Дорофеев Суворова 9 класс (Алгебра)
Решение #1

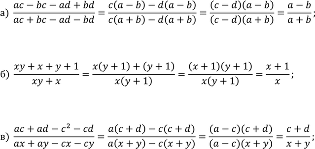
Рассмотрим вариант решения задания из учебника Дорофеев, Суворова, Бунимович 9 класс, Просвещение:
а) (ac - bc - ad - bd)/(ac + bc - ad - bd);
б) (xy + 1 + x + y)/(xy + x);
в) (ac + ad - c^2 - cd)/(ax + ay - cx - cy).
Популярные решебники 9 класс Все решебники
*К сожалению, временные проблемы с публикацией комментариев с мобильных устройств.