Упр.379(стар учебник) ГДЗ Дорофеев Суворова 8 класс (Алгебра)
Решение #1

Рассмотрим вариант решения задания из учебника Дорофеев, Суворова, Бунимович 8 класс, Просвещение:
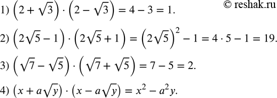
Запишите выражение, на которое можно умножить данный двучлен, чтобы в произведении не содержалось знака корня. Проверьте, выполнив умножение:
1) (2+v3)•…;
2) (2v5-1)•…;
3) (v7-v5)•…;
4) (x+avy)•….
Популярные решебники 8 класс Все решебники
*К сожалению, временные проблемы с публикацией комментариев с мобильных устройств.