Упр.350(стар учебник) ГДЗ Дорофеев Суворова 8 класс (Алгебра)
Решение #1

Рассмотрим вариант решения задания из учебника Дорофеев, Суворова, Бунимович 8 класс, Просвещение:
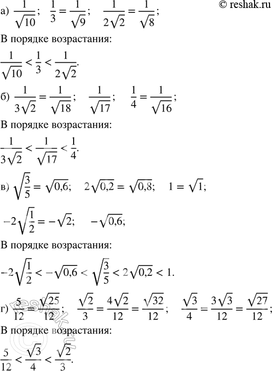
Расположите в порядке возрастания:
а) 1/v10,1/3,1/(2v2);
б) 1/(3v2),1/v17,1/4;
в) v(3/5),2v0,2,1,-2v(1/2),-v0,6;
г) 5/12,v2/3,v3/4.
Популярные решебники 8 класс Все решебники
*размещая тексты в комментариях ниже, вы автоматически соглашаетесь с пользовательским соглашением