Упр.216(стар учебник) ГДЗ Дорофеев Суворова 8 класс (Алгебра)
Решение #1

Рассмотрим вариант решения задания из учебника Дорофеев, Суворова, Бунимович 8 класс, Просвещение:
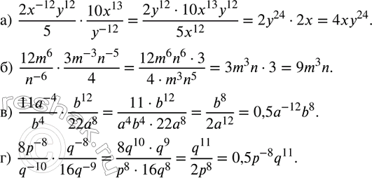
Упростите выражение:
а) (2x^(-12) y^12)/5•(10x^13)/y^(-12) ;
б) (12m^6)/n^(-6) •(3m^(-3) n^(-5))/4;
в) (11a^(-4))/b^4 •b^12/(22a^8 );
г) (8p^(-8))/q^(-10) •q^(-8)/(16q^(-9) ).
Популярные решебники 8 класс Все решебники
*размещая тексты в комментариях ниже, вы автоматически соглашаетесь с пользовательским соглашением