Упр.199(стар учебник) ГДЗ Дорофеев Суворова 8 класс (Алгебра)
Решение #1

Рассмотрим вариант решения задания из учебника Дорофеев, Суворова, Бунимович 8 класс, Просвещение:
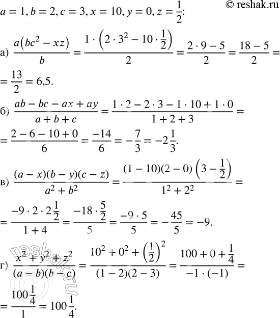
Найдите значение выражения, если a=1,b=2,c=3,x=10,y=0,z=1/2:
а) a(bc^2-xz)/b;
б) (ab-bc-ax+ay)/(a+b+c);
в) (a-x)(b-y)(c-z)/(a^2+b^2 );
г) (x^2+y^2+z^2)/(a-b)(b-c) .
Популярные решебники 8 класс Все решебники
*размещая тексты в комментариях ниже, вы автоматически соглашаетесь с пользовательским соглашением