Упр.110(стар учебник) ГДЗ Дорофеев Суворова 9 класс (Алгебра)
Решение #1

Рассмотрим вариант решения задания из учебника Дорофеев, Суворова, Бунимович 9 класс, Просвещение:
Решите двойное неравенство (109—110).
а) -3 < 2х + 1 < 15;
б) 1 ? 10 - z ? 9;
в) -14 ? 1 - Зу ? -11;
г) -3 < 1 + 4х < 0;
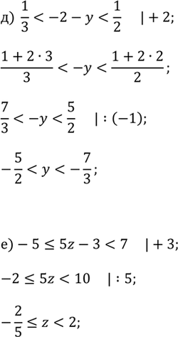
Д) 1/3 < -2 - у < 1/2;
е) -5 ? 5z - 3 < 7.
Популярные решебники 9 класс Все решебники
*К сожалению, временные проблемы с публикацией комментариев с мобильных устройств.