Упр.107(стар учебник) ГДЗ Дорофеев Суворова 9 класс (Алгебра)
Решение #1

Рассмотрим вариант решения задания из учебника Дорофеев, Суворова, Бунимович 9 класс, Просвещение:
Решите систему неравенств (106—108).
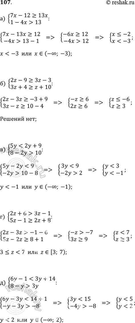
а) Система 7x-12?13x и 1-4x > 13;
б) Система 2z-9?3z-3 и 3z+4?z+10;
в) Система 5y < 2y+9 и 8-2y > 10;
г) Система 2z+6 > 3z-1 и 5z-1?2z+8;
д) Система 6y-1 < 3y+14 и 8-y > 3y;
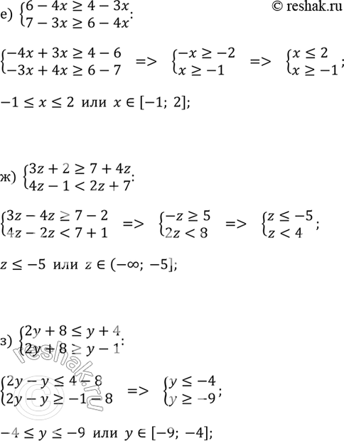
е) Система 6-4x?4-3x и 7-3x?6-4x;
ж) Система 3z+2?7+4z и 4z-1 < 2z+7;
з) Система 2y+8?y+4 и 2y+8?y-1;
Популярные решебники 9 класс Все решебники
*К сожалению, временные проблемы с публикацией комментариев с мобильных устройств.