Проверьте себя (тест) Глава 3 ГДЗ Дорофеев Суворова 8 класс (Алгебра)
Решение #1

Рассмотрим вариант решения задания из учебника Дорофеев, Суворова, Бунимович 8 класс, Просвещение:
Решите уравнение 2x^2-13x+21=0.
2. Соотнесите каждое уравнение с числом его корней.
А) x^2+3x-10=0; Б) x^2-3x+3=0; В) 4x^2+4x+1=0.
1) один корень; 2) два корня; 3) нет корней.
3. При каких значениях переменной x дробь (x-2)/(x^2+4x-21) не имеет смысла?
4. Найдите корни уравнения 5x^2-8=(x-4)(3x-1)+8x.
5. Дано уравнение x^2+2x+c=0, где c - некоторое число, x - переменная. Найдите знаение c, при котором один из корней уравнения равен 6.
6. При каком из данных значений c уравнение x^2-8x+c=0 не имеет корней?
1) 5 2) 7 3) 16 4) 20
7. Сколько корней имеет уравнение (2x^2-3x+2)(2x^2-x-2)=0?
8. При каких значениях a и c уравнение ax^2+c=0 не имеет решения?
1) a > 0,c=0; 2) a > 0,c < 0;
3) a < 0,c < 0; 4) a < 0,c > 0.
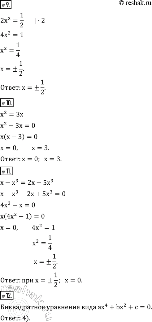
9. Решите уравнение 2x^2=1/2.
10. Решите уравнение x^2=3x.
11. Найдите значения x, при которых значения выражений x-x^3 и 2x-5x^3 равны.
12. Какое из следующих уравнений является биквадратным уравнением?
1) x^4+3x^2+x=0; 2) x^4+5x^3-6=0;
3) x^4+x-5=0; 4) x^4+x^2+1=0.
13. Найдите значения x, при которых выполняется равенство x^4=8x^2+9.
14. Укажите корни уравнения x^2+(m-n)x-mn=0.
1) x_1=m,x_2=n; 2) x_1=-m,x_2=-n;
3) x_1=-m,x_2=n; 4) x_1=m,x_2=-n.
15. Разложите, если возможно, на множители квадратный трехчлен 2x^2+15x+25.
1) это невозможно 2) (x+5)(2x+5)
3) (x+5)(x+2,5) 4) 2(x+5)(x+0,5)
16. Прочитайте задачу: «Одно число на 5 меньше другого. Сумма большего числа и квадрата меньшего равна 17. Найдите эти числа». Обозначьте меньшее число буквой x. Какое уравнение соответствует условию задачи?
1) x^2+11x+8=0; 2) x^2+x-12=0;
3) x^2-9x+8=0; 4) x^2+x-22=0.
17. Решите задачу, условие которой сформулированов предыдущем задании.
18. С вертолета, летящего на высоте 120 м, на луг сброшен груз с начальной скоростью 10 м/с. Через сколько секунд приземлится? (Воспользуйтесь формулой h=vt+5t^2).
1) через 12 с 2) через 10 с
3) через 6 с 4) через 4 с
Популярные решебники 8 класс Все решебники
*размещая тексты в комментариях ниже, вы автоматически соглашаетесь с пользовательским соглашением