Упр.6.8 ГДЗ Дорофеев Суворова 8 класс (Алгебра)
Решение #1

Рассмотрим вариант решения задания из учебника Дорофеев, Суворова, Бунимович 8 класс, Просвещение:
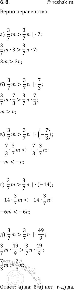
Известно, что (3/7)m > (3/7)n. Верно ли неравенство:
а) 3m > 3n; б) m < n; в) -m > -n; г) -6m < -6n; д) (7/3)m > (7/3)n?
Популярные решебники 8 класс Все решебники
*размещая тексты в комментариях ниже, вы автоматически соглашаетесь с пользовательским соглашением