Упр.6.53 ГДЗ Дорофеев Суворова 8 класс (Алгебра)
Решение #1

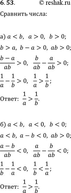
Рассмотрим вариант решения задания из учебника Дорофеев, Суворова, Бунимович 8 класс, Просвещение:
а) Пусть a и b — положительные числа и a < b. Сравните 1/a и 1/b.
б) Пусть a и b — отрицательные числа и a < b. Сравните 1/a и 1/b.
Популярные решебники 8 класс Все решебники
*размещая тексты в комментариях ниже, вы автоматически соглашаетесь с пользовательским соглашением