Упр.6.42 ГДЗ Дорофеев Суворова 8 класс (Алгебра)
Решение #1

Рассмотрим вариант решения задания из учебника Дорофеев, Суворова, Бунимович 8 класс, Просвещение:
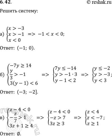
Решите систему неравенств:
а) {x > -3, x > -1, x < 0};
б) {7y?14, y/3 > -1, 3(y-1) < 6};
в) {z-4 < 0, -z/7 > 1, 3z+1?4}.
Популярные решебники 8 класс Все решебники
*размещая тексты в комментариях ниже, вы автоматически соглашаетесь с пользовательским соглашением