Упр.6.39 ГДЗ Дорофеев Суворова 8 класс (Алгебра)
Решение #1

Рассмотрим вариант решения задания из учебника Дорофеев, Суворова, Бунимович 8 класс, Просвещение:
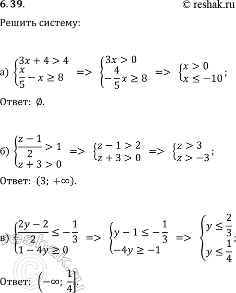
Решите систему неравенств:
а) {3x+4 > 4, x/5-x?8};
б) {(z-1)/2 > 1, z+3 > 0};
в) {(2y-2)/2?-1/3, 1-4y?0}.
Популярные решебники 8 класс Все решебники
*размещая тексты в комментариях ниже, вы автоматически соглашаетесь с пользовательским соглашением