Упр.6.27 ГДЗ Дорофеев Суворова 8 класс (Алгебра)
Решение #1

Рассмотрим вариант решения задания из учебника Дорофеев, Суворова, Бунимович 8 класс, Просвещение:
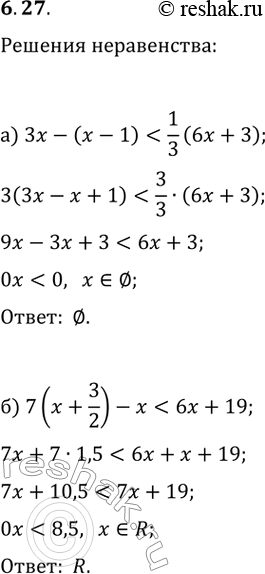
Приведите неравенство к виду 0x < b и укажите множество его решений:
а) 3x-(x-1) < 1/3(6x+3); б) 7(x+3/2)-x < 6x+19.
Популярные решебники 8 класс Все решебники
*размещая тексты в комментариях ниже, вы автоматически соглашаетесь с пользовательским соглашением