Упр.6.22 ГДЗ Дорофеев Суворова 8 класс (Алгебра)
Решение #1

Рассмотрим вариант решения задания из учебника Дорофеев, Суворова, Бунимович 8 класс, Просвещение:
Разберите предлагаемый способ решения (см. образец) и решите неравенство.
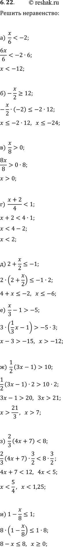
а) x/6 < -2; г) (x+2)/4 < 1; ж) 1/2(3x-1) > 10;
б) -x/2?12; д) 2+x/2?-1; з) 2/3(4x+7) < 8;
в) x/8 > 0; е) x/3-1 > -5; и) 1-x/8?1.
Образец. Как и при решении уравнений, неравенства такого вида легче решить, если избавиться от дробей. Решим, например, неравенство x/2+7?6. Умножим обе части неравества на 2, получим x·2/2+7·2?6·2; x+14?12; x?12-14; x?-2. Ответ. [-2; +?).
Популярные решебники 8 класс Все решебники
*размещая тексты в комментариях ниже, вы автоматически соглашаетесь с пользовательским соглашением