Упр.4.98 ГДЗ Дорофеев Суворова 8 класс (Алгебра)
Решение #1

Рассмотрим вариант решения задания из учебника Дорофеев, Суворова, Бунимович 8 класс, Просвещение:
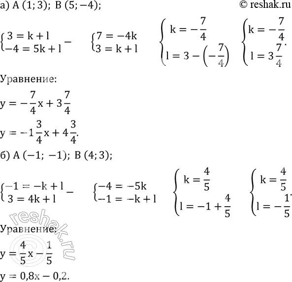
Запишите уравнение прямой, которая проходит через две данные точки:
а) A (1;3); B (5;-4);
б) A (-1; -1); B (4;3).
Популярные решебники 8 класс Все решебники
*размещая тексты в комментариях ниже, вы автоматически соглашаетесь с пользовательским соглашением