Упр.4.56 ГДЗ Дорофеев Суворова 8 класс (Алгебра)
Решение #1

Рассмотрим вариант решения задания из учебника Дорофеев, Суворова, Бунимович 8 класс, Просвещение:
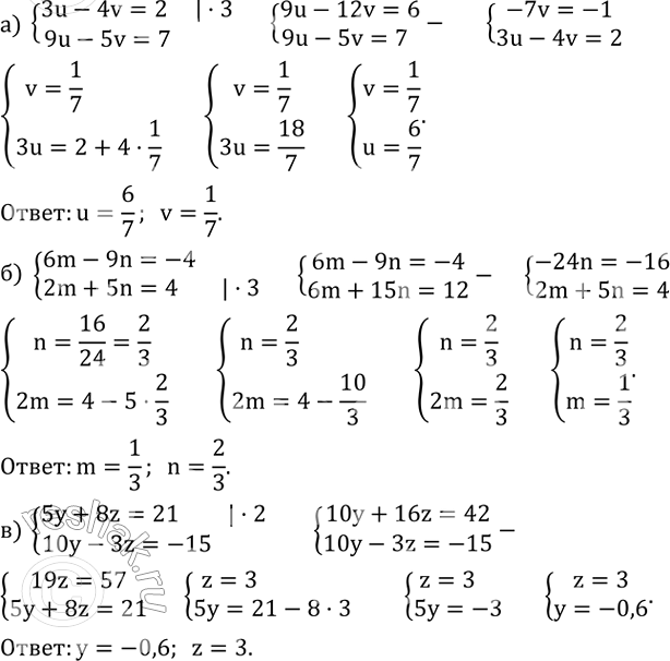
{(3u-4v=2
9u-5v=7)+
{(6m-9n=-4
2m+5n=4 )+
{(5y+8z=21
10y-3z=-15)+
Популярные решебники 8 класс Все решебники
*размещая тексты в комментариях ниже, вы автоматически соглашаетесь с пользовательским соглашением