Упр.3.83 ГДЗ Дорофеев Суворова 8 класс (Алгебра)
Решение #1

Рассмотрим вариант решения задания из учебника Дорофеев, Суворова, Бунимович 8 класс, Просвещение:
Решите уравнение:
а) (x^2-1)^3+2(x^2-1)^2=0;
б) x^2 (x-1)-3x(x-1)=0;
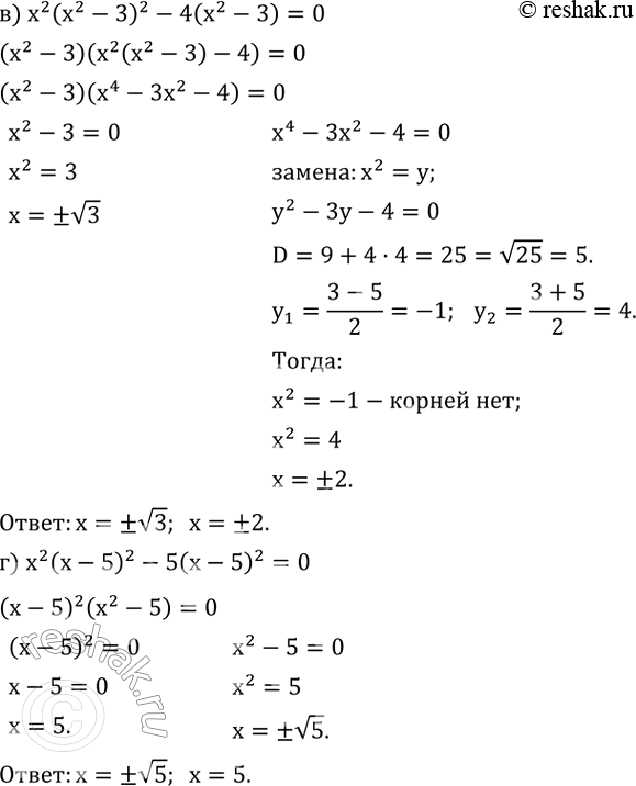
в) x^2 (x^2-3)^2-4(x^2-3)=0;
г) x^2 (x-5)^2-5(x-5)^2=0.
Популярные решебники 8 класс Все решебники
*размещая тексты в комментариях ниже, вы автоматически соглашаетесь с пользовательским соглашением