Упр.3.75 ГДЗ Дорофеев Суворова 8 класс (Алгебра)
Решение #1

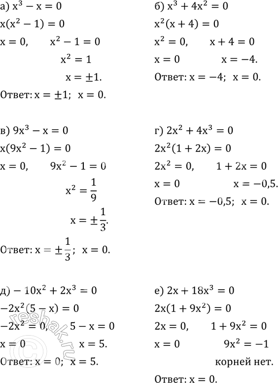
Рассмотрим вариант решения задания из учебника Дорофеев, Суворова, Бунимович 8 класс, Просвещение:
Найдите корни уравнения:
а) x^3-x=0;
б) x^3+4x^2=0;
в) 9x^3-x=0;
г) 2x^2+4x^3=0;
д) -10x^2+2x^3=0;
е) 2x+18x^3=0.
Популярные решебники 8 класс Все решебники
*размещая тексты в комментариях ниже, вы автоматически соглашаетесь с пользовательским соглашением