Упр.3.39 ГДЗ Дорофеев Суворова 8 класс (Алгебра)
Решение #1

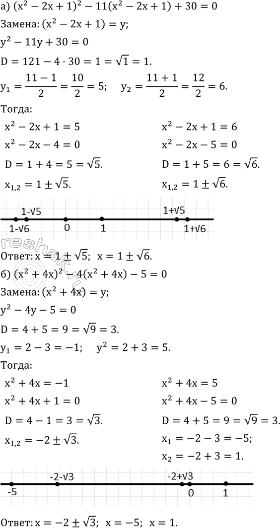
Рассмотрим вариант решения задания из учебника Дорофеев, Суворова, Бунимович 8 класс, Просвещение:
Найдите корни уравнения и покажите их примерное расположение на координатной прямой:
а) (x^2-2x+1)^2-11(x^2-2x+1)+30=0;
б) (x^2+4x)^2-4(x^2+4x)-5=0.
Популярные решебники 8 класс Все решебники
*размещая тексты в комментариях ниже, вы автоматически соглашаетесь с пользовательским соглашением