Упр.3.123 ГДЗ Дорофеев Суворова 8 класс (Алгебра)
Решение #1

Рассмотрим вариант решения задания из учебника Дорофеев, Суворова, Бунимович 8 класс, Просвещение:
Разложите на множители:
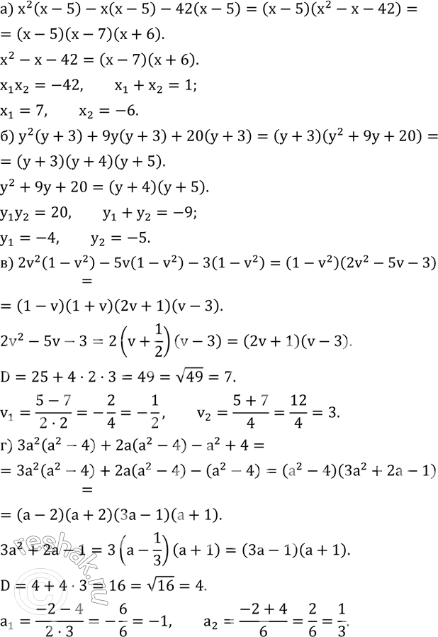
а) x^2 (x-5)-x(x-5)-42(x-5);
б) y^2 (y+3)+9y(y+3)+20(y+3);
в) 2v^2 (1-v^2 )-5v(1-v^2 )-3(1-v^2 );
г) 3a^2 (a^2-4)+2a(a^2-4)-a^2+4.
Популярные решебники 8 класс Все решебники
*размещая тексты в комментариях ниже, вы автоматически соглашаетесь с пользовательским соглашением