Упр.2.76 ГДЗ Дорофеев Суворова 8 класс (Алгебра)
Решение #1

Рассмотрим вариант решения задания из учебника Дорофеев, Суворова, Бунимович 8 класс, Просвещение:
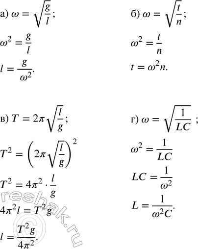
Из формулы:
а) ?=v(g/l) выразите l;
б) ?=v(t/n) выразите t;
в) T=2?v(l/g) выразите l;
г) ?=v(1/LC) выразите L.
Популярные решебники 8 класс Все решебники
*размещая тексты в комментариях ниже, вы автоматически соглашаетесь с пользовательским соглашением