Упр.2.74 ГДЗ Дорофеев Суворова 8 класс (Алгебра)
Решение #1

Рассмотрим вариант решения задания из учебника Дорофеев, Суворова, Бунимович 8 класс, Просвещение:
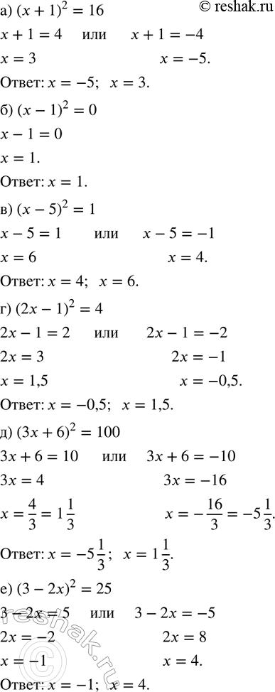
Решите уравнение:
а) (x+1)^2=16;
б) (x-1)^2=0;
в) (x-5)^2=1;
г) (2x-1)^2=4;
д) (3x+6)^2=100;
е) (3-2x)^2=25.
Популярные решебники 8 класс Все решебники
*размещая тексты в комментариях ниже, вы автоматически соглашаетесь с пользовательским соглашением