Упр.2.71 ГДЗ Дорофеев Суворова 8 класс (Алгебра)
Решение #1

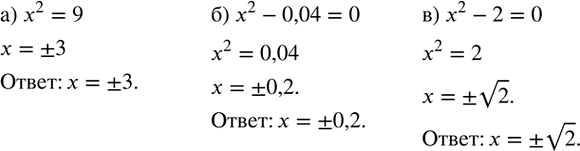
Рассмотрим вариант решения задания из учебника Дорофеев, Суворова, Бунимович 8 класс, Просвещение:
Составьте какое-нибудь уравнение, имеющее корни:
а) 3 и-3;
б) 0,2 и-0,2;
в) v2 и-v2.
Популярные решебники 8 класс Все решебники
*размещая тексты в комментариях ниже, вы автоматически соглашаетесь с пользовательским соглашением