Упр.2.183 ГДЗ Дорофеев Суворова 8 класс (Алгебра)
Решение #1

Рассмотрим вариант решения задания из учебника Дорофеев, Суворова, Бунимович 8 класс, Просвещение:
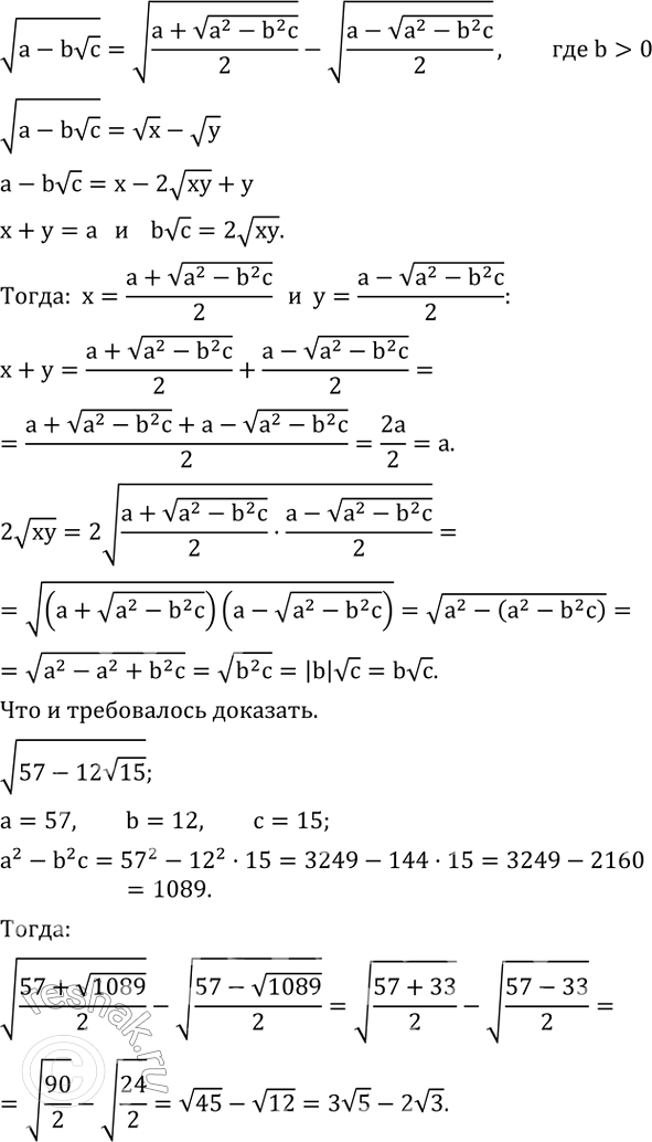
Докажите формулу
v(a-bvc) =v((a+v(a^2-b^2 c))/2)-v((a-v(a^2-b^2 c))/2),где b > 0.
Примените эту формулу для упрощения выражения v(57-12v15 ).
Популярные решебники 8 класс Все решебники
*размещая тексты в комментариях ниже, вы автоматически соглашаетесь с пользовательским соглашением