Упр.2.100 ГДЗ Дорофеев Суворова 8 класс (Алгебра)
Решение #1

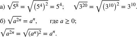
Рассмотрим вариант решения задания из учебника Дорофеев, Суворова, Бунимович 8 класс, Просвещение:
а) Докажите, что v(5^8 )=5^4; v(3^20 )=3^10.
б) Докажите свойство: v(a^2n )=a^n, где a?0.
Популярные решебники 8 класс Все решебники
*размещая тексты в комментариях ниже, вы автоматически соглашаетесь с пользовательским соглашением