Упр.1.93 ГДЗ Дорофеев Суворова 8 класс (Алгебра)
Решение #1

Рассмотрим вариант решения задания из учебника Дорофеев, Суворова, Бунимович 8 класс, Просвещение:
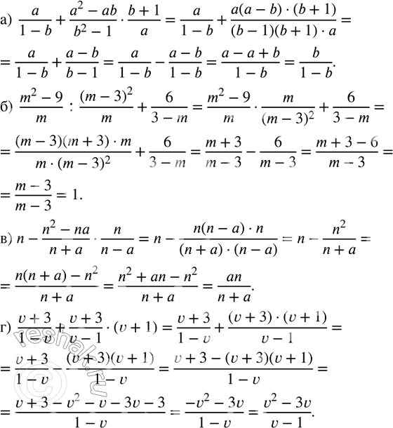
Упростите выражение:
а) a/(1-b)+(a^2-ab)/(b^2-1)•(b+1)/a;
б) (m^2-9)/m :(m-3)^2/m+6/(3-m);
в) n-(n^2-na)/(n+a)•n/(n-a);
г) (v+3)/(1-v)+(v+3)/(v-1)•(v+1).
Популярные решебники 8 класс Все решебники
*размещая тексты в комментариях ниже, вы автоматически соглашаетесь с пользовательским соглашением