Упр.1.85 ГДЗ Дорофеев Суворова 8 класс (Алгебра)
Решение #1

Рассмотрим вариант решения задания из учебника Дорофеев, Суворова, Бунимович 8 класс, Просвещение:
Упростите выражение:
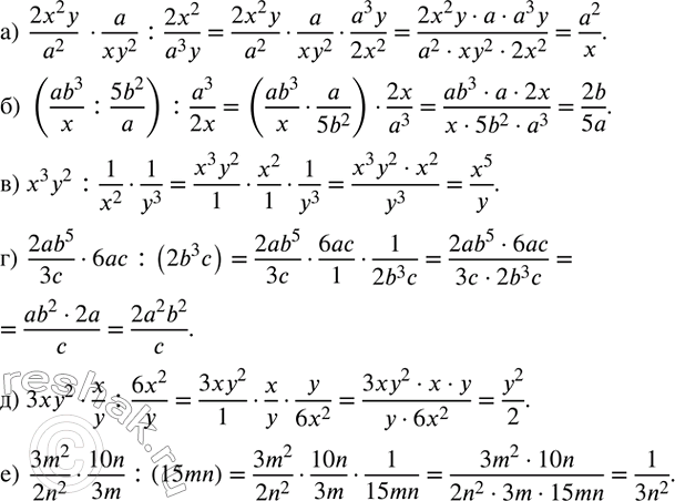
а) (2x^2 y)/a^2 •a/(xy^2 ) :(2x^2)/(a^3 y);
б) ((ab^3)/x :(5b^2)/a) :a^3/2x;
в) x^3 y^2 :1/x^2 •1/y^3 ;
г) (2ab^5)/3c•6ac:(2b^3 c);
д) 3xy^2•x/y :(6x^2)/y;
е) (3m^2)/(2n^2 )•10n/3m :(15mn).
Популярные решебники 8 класс Все решебники
*размещая тексты в комментариях ниже, вы автоматически соглашаетесь с пользовательским соглашением