Упр.1.73 ГДЗ Дорофеев Суворова 8 класс (Алгебра)
Решение #1

Рассмотрим вариант решения задания из учебника Дорофеев, Суворова, Бунимович 8 класс, Просвещение:
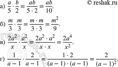
Выполните умножение:
а) a/5•b/2;
б) m/3•m/3;
в) (2a^2)/x•a^2/x;
г) 1/(a-1)•2/(a-1).
Популярные решебники 8 класс Все решебники
*размещая тексты в комментариях ниже, вы автоматически соглашаетесь с пользовательским соглашением