Упр.1.46 ГДЗ Дорофеев Суворова 8 класс (Алгебра)
Решение #1

Рассмотрим вариант решения задания из учебника Дорофеев, Суворова, Бунимович 8 класс, Просвещение:
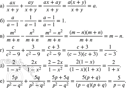
Выполните сложение или вычитание дробей.
а) ax/(x+y)+ay/(x+y);
б) a/(a-1)-1/(a-1);
в) m^2/(m+n)-n^2/(m+n);
г) c/(c^2-9)+3/(c^2-9);
д) 2/(1-x^2 )-2x/(1-x^2 );
е) 5p/(p^2-q^2 )+5q/(p^2-q^2 ).
Популярные решебники 8 класс Все решебники
*размещая тексты в комментариях ниже, вы автоматически соглашаетесь с пользовательским соглашением