Упр.1.34 ГДЗ Дорофеев Суворова 8 класс (Алгебра)
Решение #1

Рассмотрим вариант решения задания из учебника Дорофеев, Суворова, Бунимович 8 класс, Просвещение:
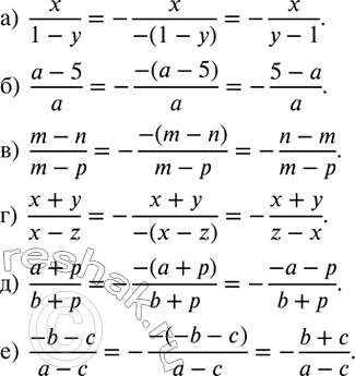
Замените выражение равным ему так, чтобы перед дробью стоял знак «минус»:
а) x/(1-y);
б) (a-5)/a;
в) (m-n)/(m-p);
г) (x+y)/(x-z);
д) (a+p)/(b+p);
е) (-b-c)/(a-c).
Популярные решебники 8 класс Все решебники
*размещая тексты в комментариях ниже, вы автоматически соглашаетесь с пользовательским соглашением