Упр.1.20 ГДЗ Дорофеев Суворова 8 класс (Алгебра)
Решение #1

Рассмотрим вариант решения задания из учебника Дорофеев, Суворова, Бунимович 8 класс, Просвещение:
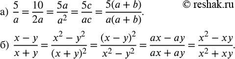
Дополните равенства:
а) 5/a=.../2a=.../a^2 =5c/...=5(a+b)/...;
б) (x-y)/(x+y)=.../(x+y)^2 =(x-y)^2/...=.../(ax+ay)=(x^2-xy)/... .
Популярные решебники 8 класс Все решебники
*размещая тексты в комментариях ниже, вы автоматически соглашаетесь с пользовательским соглашением