Упр.1.17 ГДЗ Дорофеев Суворова 8 класс (Алгебра)
Решение #1

Рассмотрим вариант решения задания из учебника Дорофеев, Суворова, Бунимович 8 класс, Просвещение:
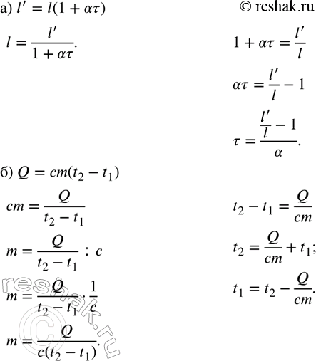
Выразите из формулы:
а) l^'=l(1+??) переменные l и ?;
б) Q=cm(t_2-t_1 ) переменные m, t_2 и t_1.
Популярные решебники 8 класс Все решебники
*размещая тексты в комментариях ниже, вы автоматически соглашаетесь с пользовательским соглашением