Упр.1.167 ГДЗ Дорофеев Суворова 8 класс (Алгебра)
Решение #1

Рассмотрим вариант решения задания из учебника Дорофеев, Суворова, Бунимович 8 класс, Просвещение:
Решите уравнение; в качестве образца используйте пример 1 из текста:
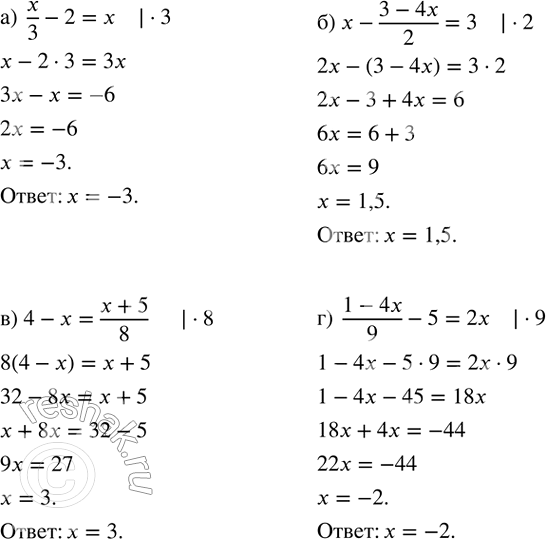
а) x/3-2=x;
б) x-(3-4x)/2=3;
в) 4-x=(x+5)/8;
г) (1-4x)/9-5=2x.
Популярные решебники 8 класс Все решебники
*размещая тексты в комментариях ниже, вы автоматически соглашаетесь с пользовательским соглашением